SELF CHECK QUIZ - EXTRUSION PROCESS

Q1. Which country has maximum contribution in worldwide forging industry:

(a)  USA, Canada   (b)  Europe   (c)  China   (d)  India



Q2. The types of extrusion process involved in metal forming are:

(a)  4   (b)  1   (c)  3   (d)  5



Q3. Parameter which separate cold forming process from hot forming process is:

(a)   Re-crystallisation temperature
(b)   Melting point
(c)   Physical properties
(d)   Surface properties



Q4. How many types of presses are shown in extrusion process module:

(a)  10   (b)  1   (c)  3   (d)  5



Q5. The force acting on the work piece during extrusion operation is:

(a)  Compressive Force   (b)  Shear Force   (c)  Tensile Force   (d)  Spring Back Force



Q6. In simulation bench of extrusion process for aluminium, the velocity of ram used is:

(a)  1 mm/sec & 5 mm/sec   (b)  2 mm/sec & 3 mm/sec   (c)  5 mm/sec & 7 mm/sec   (d)  4 mm/sec & 5 mm/sec



Q7. The die angles used in the simulation of the extrusion process for aluminium are:

(a)  45o, 60o, 90o   (b)  10o, 45o, 60o   (c)  20o, 40o, 60o   (d)  10o, 20o, 30o



Q8. Metal extrusion process is generally used for producing:

(a)  Uniform solid section   (b)  Uniform hollow section   (c)  Both   (d)  None



Q9. For successive extrusion, the metal should be:

(a)  Ductile   (b)  Malleable   (c)  Plastic   (d)  Toug



Q10. The extrusion chamber, die and the ram are generally lubricated by:

(a)  Grease   (b)  Solid lubrican   (c)  Vegetable   (d)  Kerosene oil



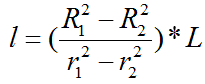
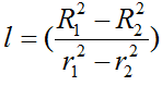
Q11. Pipe dimensions are shown in figure, relation for 'l' is:

Pipe Dimension

(a)  Pipe Dimension   (b)  Pipe Dimension   (c)  Pipe Dimension   (d)  Pipe Dimension



Q12. If the D1 = 50mm, D2 = 45 mm, length (L) = 100 mm, r1 = 25 mm, r2 = 20 mm, l = ? :

(a)  211.2 mm   (b)  123 mm   (c)  232 mm   (d)  245 mm



Q13. If the D1 = 55mm, D2 = 50 mm, length (L) = 150 mm, r1= 30 mm, r2 = 20 mm, l = ? :

(a)  157.5 mm   (b)  134 mm   (c)  220 mm   (d)  435 mm



Q14. If the D1 = 55mm, D2 = 50 mm, length (L) = 150 mm, r1 = 30 mm, r2 = ?, l= 300 mm :

(a)  14.9 mm   (b)  21 mm   (c)  12 mm   (d)  23 mm



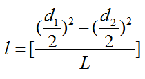
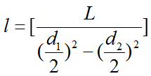
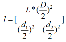
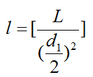
Q15. Solid billet and pipe dimensions are shown in figure, relation for 'l' is:

Solid Billet and Pipe Dimension

(a)   Solid Billet and Pipe Dimension           (b)   Solid Billet and Pipe Dimension
(c)   Solid Billet and Pipe Dimension           (d)   Solid Billet and Pipe Dimetnsion



Q16. If the D1= 50 mm, length (L) = 100 mm, d1 = 25 mm, d2 = 20mm, l = ? :

(a)  1111 mm   (b)  1000 mm   (c)  900 mm   (d)  872 mm



Q17. If the D1 = 40 mm, length (L) = 100 mm, d1 = 20 mm, d2 = 10 mm, l = ? :

(a)  533 mm   (b)  545 mm   (c)  555 mm   (d)  562 mm



Q18. If the D1 = 30 mm, length (L) = 100 mm, d1 = 20 mm, d2 = ?, l = 600 mm :

(a)  11.5 mm   (b)  7.8 mm   (c)  10 mm   (d)  8 mm